Wetlands store 20%-30% of global soil organic carbon, playing a crucial role in climate regulation. However, 35% of natural wetlands are threatened by reclamation, and the microbial mechanisms regulating soil carbon stability during wetland reclamation and restoration remain unclear.
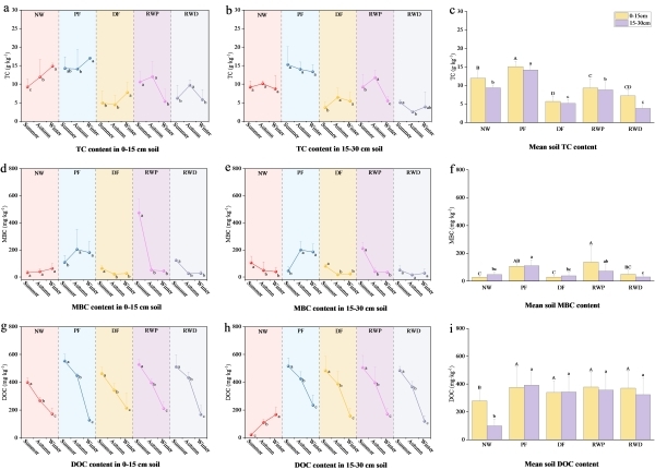
The research group led by SONG Yanyu from the Northeast Institute of Geography and Agroecology, CAS investigated soil carbon content, microbial abundance and enzyme activity across five land use types (natural wetlands, paddy fields, dry fields, wetlands restored from paddy fields and dry fields) across three seasons (summer, autumn, winter) and two soil layers (0-15 cm topsoil, 15-30 cm subsoil) in western Jilin Province. The results revealed that both topsoil and subsoil in paddy fields exhibited the highest total carbon (TC) content. In contrast, natural wetlands exhibited lower dissolved organic carbon (DOC) level but maintained relatively high TC content. Wetland reclamation significantly altered soil carbon content, microbial abundance and enzyme activity. Mean soil TC and microbial biomass carbon (MBC) content, along with the abundances of cbbM, nifH and nirS genes and ribulose-1, 5-bisphosphate carboxylase (RubisCO) activity, were all higher in paddy fields compared to dry fields. Bacterial abundance, nirS gene abundance, and the activities of RubisCO, N-acetyl-glucosaminidase (NAG) were higher in summer than in autumn and winter. Structural equation modeling revealed that land use indirectly influenced soil TC content by modulating soil moisture content, cbbM gene abundance, salinity- alkalinity level, and RubisCO activity. This work was published in the journal of Hydrology on 30 November.
The research findings provide insights into microbial and environmental-mediated mechanisms regulating soil carbon stability during wetland reclamation and restoration, which benefit wetland conservation, degraded wetland restoration and the achievement of "dual carbon" goals in fragile ecosystems globally.

Fig. 1. Carbon contents in the topsoil and subsoil across different land-use types and seasons.

Fig. 2. Structural equation modeling describing the soil physicochemical properties microbial abundances and enzyme activities in affecting soil carbon content
Keywords:
Wetland reclamation and restoration, Soil carbon content, Microbial abundance, Enzyme activity, Land use change
Contact:
SONG Yanyu
Northeast Institute of Geography and Agroecology, Chinese Academy of Sciences
E-mail: songyanyu@iga.ac.cn
Attachment:
Soil moisture content, cbbM gene abundance and salinity-alkalinity are crucial factors for soil carbon content during wetland reclamation and restoration
https://doi.org/10.1016/j.jhydrol.2025.134703